選區激光熔化成形技術(Selective laser melting,SLM)的熱源為高能激光束,激光束直徑小,制備
的合金件精度高、誤差范圍小。通過粉末熔化層層累積,成形的金屬件致密度大、成分均勻,相比于傳統鑄
造、鍛造與機加工技術,SLM技術無需模具,可極大程度地縮短生產周期,節約成本,提高材料的利用率,
在航空航天、醫療器械、汽車制造等領域得到了高速發展[1-3]。SLM的成形過程涉及諸多工藝參數,例如激
光直徑、激光功率、掃描速度和掃描方式等,采用不同的工藝參數會對成形樣的性能產生巨大差異,目前大
多數研究都是基于激光能量密度這個角度來分析成形零件之間的差異。
Ding等[4]研究了SLM制備Ti-6Al-4V(TC4)鈦合金的力學性能和組織結構,發現降低激光能量密度更容
易細化α′馬氏體,提高試樣塑性,粗糙度隨能量密度的增加先降低后增大。石文天等[5]研究了SLM單熔道
成形工藝,發現能量密度對TC4鈦合金的表面形貌和成形質量影響較大,可以通過調整能量密度有效改善試
樣表面的球化、飛濺等缺陷。Haubrich等[6]對不同激光能量密度下SLM-TC4合金試樣進行組織觀察,發現不
同的激光能量密度會影響試樣的晶體取向規律。縱觀當前主流研究,許多研究者常常以激光輸入的“能量密
度”不同角度來分析成形件性能的差異,而鮮有研究探討在等激光能量密度的條件下,不同工藝參數組合對
SLM成形零件的特征和性能是否存在影響。然而在實際打印不同屬性的材料時,各工藝參數對激光工藝過程
中熔池生長的影響權重可能存在差異,黎振華等[7]在研究激光功率與掃描速度對熔池溫度場影響時,發現
掃描速度對熔池的尺寸影響更大。單純以能量密度角度來籠統地分析激光工藝參數對SLM成形試樣的影響容
易忽略那些權重較大的工藝因素,從而影響后續最優工藝窗口的尋找效率;因此,通過實驗來探究等激光能
量密度下不同工藝參數對SLM成形的影響具有實際指導意義[8]。此外,目前很多模擬SLM熔池成形的研究中
,粉末模型的建立往往獨立于實際打印過程[9-10],模擬結果并沒有和實驗過程完全對照。基于此,現選用
TC4鈦合金為原材料,在等激光能量密度的條件下通過ANSYS有限元數值模擬,研究激光功率和掃描速
度對熔池尺寸及溫度場的影響,并通過實驗進行對比論證;通過SLM成形實驗,觀察不同激光工藝參數組合
對SLM沉積態試樣熔池、表面形貌和硬度的影響。
1、數值模型建立
1.1 數學模型
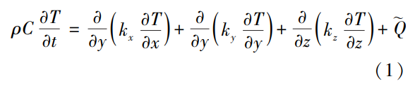
在選區激光熔化成形工藝中,金屬粉末在激光熱源照射下溫度瞬間升高熔化形成熔池,所以SLM成形工
藝的溫度場具有非線性熱傳導特征。其溫度場的模擬滿足傅里葉方程[11],表達式為式

(1)中:ρ為材料
密度;C為材料比熱;t為時間;T為熔池內部溫度;Q為體熱源強度;kx、ky、kz為沿x、y、z方
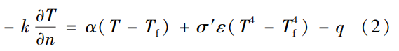
向導熱系數。基于ANSYS有限元分析機制,結合實際SLM成形過程,當激光照射在粉末上時,粉末吸收
能量后以輻射與對流的方式向四周散熱,基板表面以對流方式向四周散熱。邊界條件的加載公式[12]表達為

式(2)中:n為三維模型法線方向;α為自然對流換熱系數;Tf為換熱介質溫度;σ′為斯特藩-玻爾茲
曼(Ste-fan-Boltzmann)常數,取5.67×10-8W/(m
2.K4);ε為材料的輻射發射率(黑度);q為激光熱源的輸入。在SLM過程中,金屬粉末被激光束照
射后發生熔化-熔融-凝固,金屬組織內部發生吸收或釋放潛熱,因此必須要考慮潛熱對溫度場的影響,潛熱
表達式為

1.2 有限元模型模擬
SLM熔池的溫度場主要通過ANSYS中的“生死單元法”[13]實現。通過生成和殺死單元,可以模擬
那些單元數隨著載荷步的進行不斷增加,對按照要求排序后生成和殺死的單元施加載荷和約束。要激活“單
元死”的效果,ANSYS程序并不是將“殺死”的單元從模型中刪除,而是將其剛度(或傳導,或其他分
析特性)矩陣乘以一個很小的因子值(默認值為1.0×10-6),死單元的單元載荷將為0,從而不對載荷向量
生效(但仍然在單元載荷的列表中出現)。同樣,死單元的質量、阻尼、比熱和其他類似效果也設為0值,
單元的應變在“殺死”的同時也將設為0。當激光熱源移動到該單元時,重新激活該單元模擬金屬粉末熔化
形成熔池的過程。圖1為模擬SLM加工過程的單道單層有限元模型,
簡化模型進行等激光能量密度下不同參數下對熔池的影響,粉層部分尺寸為13mm×1mm×0.03mm,基板
部分尺寸為13mm×8mm×1mm。熔覆層采用Solid70六面體八節點單元進行網格劃分,每個小單元的尺寸
為0.16mm×0.16mm×0.03mm。基板采用四面體單元進行自由網格劃分,每個小單元的尺寸為0.5mm。經過網
格劃分后得到的單元和節點個數分別為10616和18790。

1.3 熱源模型
激光束產生的熱量分布呈現高斯分布,因此采用高斯移動熱源模型。熱源公式[14]為式

(4)中:Q為
在光斑內任意點的熱流密度;η為激光利用率;P為激光功率;r為激光光斑半徑;R為任意點到熱源中心
的距離。
1.4 材料屬性
SLM的成形過程中,金屬粉末的熱物性參數隨著溫度的變化而發生改變,這種變化往往是非線性的。基
板和粉層均為TC4合金,表1為所需溫度范圍內TC4合金的力學性能參數。

2、實驗部分
2.1 實驗材料和設備
實驗所用原料采用氣霧化法制備的TC4球形粉末,粉末分布均勻,表面光滑,球形度較好,粉末粒徑范
圍為15~53μm。TC4粉末化學成分如表2所示,粉末微觀形貌如圖2所示。

實驗采用西安鉑力特增材技術股份有限公司生產的BLT-A160設備,激光器為德國IPG公司的500
W風冷激光器,光斑直徑為100μm,該設備最大成形尺寸為160mm×160mm×100mm。實驗過程中全程通入
99.99%的高純度氬氣使成型腔內氧含量一直保持在100×10-6以下。實驗中激光掃描策略采用條形掃描,相
鄰層間掃描方向旋轉67°。
2.2 實驗方法
為制備最佳成形試樣,采用西安鉑力特增材技術股份有限公司提供的TC4合金粉末成熟工藝窗口,其激
光能量密度為(39.1±0.1)J/mm3,能量密度的計算公式為

式(5)中:E為激光能量密度,J/mm3;P為激光功率,W;v為掃描速度,mm/s;h為掃描間距,
mm;t為鋪粉層厚,mm。據此制定本實驗SLM工藝條件下等激光能量密度的參數如表3所示。

將打印好的試樣(圖3)用線切割從基板去除,超聲波清洗去除表面雜質后用JB-5C型粗糙度輪廓儀
測量試樣上表面和側表面的粗糙度,每個被測面測量三次取平均值為最終粗糙度值;采用VEGA3SBH
型鎢燈絲掃描電子顯微鏡(scanningelectronmicroscope,SEM)觀察成形
試樣表面的微觀形貌,金相表征實驗采用常規方法進行,取試樣尺寸為10mm×10mm×10mm,對試樣上表面
進行打磨、拋光與腐蝕處理。腐蝕試劑采用Kroll腐蝕液,體積比為氫氟酸∶硝酸∶蒸餾水=1∶3∶7
,腐蝕時間為5~10s,腐蝕后的試樣在AxioObserverZ1m型光學顯微鏡下觀察其微觀組織形
貌。硬度測試采用HBRV-187.5型電動布洛維硬度計,將試樣上表面和側表面進行粗磨拋光,測試載荷為
30kgf(1kgf=9.81N),保壓時間為12s,每個測量面選取3個測量點取平均值為最終硬度值。

實驗過程中主要設施如圖4所示。
3、結果與分析
3.1 熔池尺寸模擬
圖5和圖6分別為激光能量密度39.1J/mm3時激光功率和掃描速度對熔池尺寸的影響。圖5為掃描速度v
=1150mm/s,激光功率P分別為117W(9#)、135W(2#)、180W(4#)時的熔寬與熔深,可以看出
,隨著激光功率的增大,熔寬與熔深也逐漸變大,熔寬從167.4μm先增大到178.4μm后再降低到176.8μm,
熔深從40.3μm先增加到50μm后降低到47.7μm。模擬結果還表明,激光功率在135W時熔池溫度最低,熔池
最低為2354.3℃。如圖5(c)所示,當激光功率P=135W時,熔池的寬度與深度最大,此時熔池中心區域
溫度最低,更有利于熔池熱應力的擴散。圖6為激光功率P=180W,掃描速度v分別為1150mm/s(4#)、
1276mm/s(1#)、1435mm/s(7#)時熔池的寬度與深度,可以看到,掃描速度從1150mm/s增加到
1435mm/s,熔池的寬度從176.8μm下降到174μm后基本保持不變,深度從47.7μm上升到51.5μm,熔池最
高溫度從2638.8℃上升到2737.6℃。觀察圖6可以發現,當掃描速度超過1276mm/s后,熔池的尺寸基本沒有
明顯的變化,但熔池中心的最高溫度會繼續隨著掃描速度的增大而繼續增大,這是因為隨著掃描速度加快,
激光照射下液態金屬快速凝固成固態熔池,單道熔池內部的熱量來不及釋放[15]。在層層累積下熔池熱應力
集中將導致試樣發生裂紋、翹曲等現象。圖7所示為激光能量密度39.1J/mm3下激光功率和掃描速度對熔池寬
深比的影響,從圖7(a)中可以看出,在恒定的激光能量密度下保持掃描速度不變,隨著激光功率的增加
,熔寬、熔深先減小后上升,在激光功率為135W時達到最小。在激光功率恒定時[圖7(b)],隨著掃描速
度的增加,熔寬、熔深逐漸減小,在掃描速度為1435mm/s時達到最小。熔寬/熔深的值越小,熔池更傾向于
向下向延伸,熔池的生長比例更加均勻。熔池尺寸和熔寬與熔深比值(寬深比)的顯著變化說明了在恒定的
激光能量密度下激光功率和掃描速度的變化將導致熔池尺寸的變化,能量密度對熔池尺寸不能起決定性影響
。


3.2 表面粗糙度和熔池的成形
根據表3中的工藝參數進行了分別進行三次成形實驗,每一次實驗選擇不同的鋪粉層厚。對成形后的樣
品進行上表面和側表面粗糙度的測量,測量結果如圖8所示。可以看出,第一次實驗(試樣1#、2#、3#)
側表面粗糙度從1#試樣11.5μm下降到3#試樣9.0μm,第二次實驗(試樣4#、5#、6#)側表面粗糙度從
4#試樣11.0μm下降到6#試樣9.2μm,第三次實驗(試樣7#、8#、9#)的側表面粗糙度從7#試樣10.5
μm下降到9#試樣9.8μm。三次不同鋪粉層厚下每一組試樣側表面粗糙度都呈現下降趨勢,說明等激光能量
密度下減小激光功率、掃描速度和掃描間距有利于SLM產品側面的平整度。進一步觀察三次實驗樣品的上表
面粗糙度可以發現,第一組實驗(試樣1#、2#、3#)的粗糙度平均為5.0μm,比第二組(試樣7#、8#
、9#)時的平均粗糙度10.4μm和第三組(試樣4#、5#、6#)時的平均粗糙度10.3μm有著明顯的降低,
猜測這是三組實驗鋪粉層厚不同造成的。為了進一步探究在激光能量密度相同時,不同的鋪粉層厚造成試樣
上表面粗糙度差異的原因,選取了4#、2#、9#試樣,用SEM掃描電鏡觀察了不同鋪粉層厚試樣的上表
面形貌,如圖9所示。從圖9(b)可以看到,當鋪粉層厚為0.03mm時,試樣上表面相對平滑,熔池搭接連續
、平緩且分布均勻,熔道較淺整體成形質量較好,因此表面粗糙度較小。當鋪粉層厚為0.02mm和0.04mm時,
如圖9(a)和圖9(c)所示,熔池搭接效果明顯下降,熔道較深且出現半連續熔道,表面呈現明顯的“溝
壑”狀。同時可以觀察到半熔化的合金粉末和球形顆粒附著在熔池表面,此時的表面粗糙度比鋪粉層厚為
0.03mm時明顯增大,該結果與實驗測得的粗糙度數據相符合。激光束作用在粉末上時,激光能量轉換為熱量
被粉末吸收,粉末達到熔點后熔融形成熔池相互搭接,因此熔池的成形質量是影響粗糙度的主要原因之一
[16]。有學者認為熔池的成形質量與液態金屬的表面張力和黏度有關[17-18],液態動力黏度μ與液態溫度
T的關系[19]表達式為

式(6)中:μ為液態的動力黏度;m為原子的質量;γ為液態的表面張力值;kB為
玻爾茲曼常數;T為液態的溫度。由式(6)可知,液態金屬的表面張力與溫度成反比,熔池因為表面張力來不及向兩邊
鋪展導致成形質量較差且更容易出現球化現象和形成未熔顆粒,激光能量密度與激光所提供的熱量成正比,
因此用激光能量密度來解釋熔池的成形質量[20-21]。


然而,相同的激光能量密度提供的能量是相同的,這就不能用激光能量密度的變化影響熔池的成形質量
來解釋。激光照射在粉末上時,激光束中心的能量最高,當激光作用在較厚的粉層時,熔池邊緣的粉末通過
熱傳導的方式熔化。受溫度梯度的影響,相比于熔池中心部位,熔池邊緣的能量不能使粉末充分的熔化,較
快的冷卻速率將粘連未及時融化的球形顆粒和微熔顆粒,增大熔池表面粗糙度,如圖9(a)所示;而鋪粉
層較薄時,激光作用在粉末上會導致粉末蒸發發生汽化現象,激光束穿透粉末使上一層已成形面產生過燒現
象[22],熔池的熱積累效應增大,表面吸附未熔金屬顆粒影響熔池形貌[23],出現半連續的熔道,同樣增大
了表面粗糙度,如圖9(c)所示。


3.3 微觀組織形貌
察了等激光能量密度下試樣的光學顯微組織。如圖10(a)所示,當鋪粉層厚為0.04mm時,試樣內部出
現分布均勻且密集的細小圓孔,這是因為粉層較厚時,激光能量不足以使金屬粉末充分的熔化,熔池中夾雜
著未完全熔透的粉末顆粒,與圖9(a)的結果相吻合。當鋪粉層厚取0.03mm和0.02mm時,如圖10(b)和
圖10(c)所示,試樣內部的成形質量較好,基本沒有明顯缺陷。繼續觀察圖10發現,鋪粉層厚為0.04mm和
0.03mm時,試樣組織中的馬氏體α相比較粗大,出現粗大的長條狀α′馬氏體,而鋪粉層厚為0.02mm時,長
條狀α′馬氏體消失不見,主要為細小的針狀α′馬氏體。這種微觀組織的差異主要是因為SLM成形過程中
激光作用在金屬粉末上時,同時對上一層已形成的熔池有重熔效果[24],與熱處理效果相似,細化晶粒,此
時α′馬氏體相尺寸較小,組織成分更加均勻[25]。

3.4 顯微硬度
對成形試樣進行了顯微硬度的測試,測量結果如圖11所示。可以看出,試樣側表面硬度在310~330HV
,上表面硬度在290~320HV,其中HV表示維氏硬度。觀察同一鋪粉層厚下的硬度可發現,當鋪粉層厚為
0.03mm時(試樣1#、2#、3#),試樣側表面硬度變化很小,而上表面硬度先下降后上升,2#試樣硬度最
小為291HV,與1#試樣最大硬度311HV相差20HV;鋪粉層厚為0.04mm時(試樣4#、5#、6#),試樣
側表面硬度由334HV下降到了320HV,而上表面硬度則完全相反,呈上升趨勢,由295HV增加到318HV
;當鋪粉層厚為0.02mm時(試樣7#、8#、9#),試樣側表面和上表面硬度變化趨勢一致。這說明即便激
光能量密度相同,不同的激光工藝參數組合依然可以對試樣的側表面和上表面硬度產生一定的影響。雖然有
實驗結果表明,在等激光能量密度、等激光功率下激光工藝參數對試樣的成形性能影響較小[26],但是在恒
定的激光能量密度下,采用不同的工藝參數組合驗證了對試樣硬度的影響。觀察圖11發現,在恒定的激光能
量密度下,每個試樣的上表面硬度都要比側表面硬度略高。結合選區激光熔化成形的特性,其原因可能是當
激光照射在TC4合金粉末上時,上表面粉末受高能激光束作用直接熔融,熔池之間相互搭接成形上表面,粉
末之間的結合力較大。側表面層與層之間的結合力略低,激光需要穿透粉末后,通過熱傳導的方式使上層已
成形的熔池重新熔融,與下一層新成形的熔池結合,因此層與層之間的結合力要低于熔池之間搭接的結合力
,側表面硬度低于上表面硬度[27]。

4、結論
采用選區激光熔化技術成形TC4鈦合金試樣,通過數值模擬和實驗,將實驗粉層與仿真模型結合,探討
了等激光能量密度下不同的工藝參數組合成形試樣的熔池、表面形貌和硬度,彌補了實驗粉層與仿真模型不
符的情況。研究發現僅以激光能量密度來衡量SLM成形零件的性能差異是不夠的,例如在輸入相同的激光能
量密度相同時,不同的功率和速度組合對熔池的溫度場有較大差異;鋪粉層厚對成形的試樣性能和形貌有更
為顯著的影響。因此在選擇工藝參數時,不僅要選取合適的能量密度,對參數之間的組合也要慎重。
主要結論如下。
(1)在等激光能量密度下,激光功率和掃描速度的不同組合將導致不同的熔池尺寸;在激光功率為135
W時,掃描速度為1435mm/s時熔池生長比例傾向于縱向延伸,熔池尺寸更加均勻。
(2)激光能量密度相同時,不同的工藝參數組合整體上并沒有對試樣側表面粗糙度造成顯著影響,但
試樣上表面粗糙度在鋪粉層厚為0.03mm時,明顯優于鋪粉層厚為0.02mm和0.04mm的試樣。同一鋪粉層厚下試
樣的側表面和上表面粗糙度略有變化。本實驗中鋪粉層厚為0.03mm,激光功率為118W,掃描速度為
1115mm/s,掃描間距為0.09mm時,測得試樣的上表面粗糙度最小為4.62μm。
(3)SEM和金相觀察可以看出,即便激光能量密度相同,但試樣表面的成形熔道和微觀組織存在較大差
異。鋪粉層厚為0.03mm時,試樣表面熔道最光滑;鋪粉層厚為0.04mm的試樣內部分布大量細小圓孔,鋪粉層
厚為0.02mm的試樣中出現細小針狀馬氏體。
(4)試樣的側表面硬度均高于上表面硬度;在激光能量密度相同的條件下,試樣上表面的硬度變化幅
度大于側表面。在同一鋪粉層厚下,試樣上表面硬度變化也不同于側表面的硬度變化。試樣上表面的最大硬
度變化為23HV,而側表面為14HV。
參考文獻
[1]戰金明,梁志剛,黃進鈺,等.TC4鈦合金表面單道激光熔覆工藝研究[J].應用激光,2020,40(6
):955-961.
ZhanJinming,LiangZhigang,HuangJinyu,etal.Stud
yonthesinglelasercladDingprocessonTC4titaniumalloy
surface[J].Ap-pliedLaser,2020,40(6):955-961.
[2]許明三,張正,黃旭.能量密度對SLM成形316L致密度與耐磨性能的影響研究[J].應用激光,2021
,41(3):431-438.
XuMingsan,ZhangZheng,HuangXu.Effectofenergyde
nsityondensityandwearresistanceofSLMformed316L[J].A
ppliedLa-ser,2021,41(3):431-438.
[3]ZhangW,WangL,FengZ,etal.Researchprogressons
electivelasermelting(SLM)ofmagnesiumalloys:arevi
ew[J].Optik,2020,207:163842.
[4]DingHH,ZhangJ,LiuJY,etal.Effectofvolumeenergy
densityonmicrostructureandmechanicalpropertieso
fTC4alloybyselec-tivelasermelting[J].JournalofAllo
ysandCompounds,2023,968:171769.
[5]石文天,韓玉凡,劉玉德,等.選區激光熔化TC4球化飛濺機理及其試驗研究[J].表面技術,2021
,50(11):75-82.
ShiWentian,HanYufan,LiuYude,etal.Mechanismand
experi-mentalstudyofTC4spheroidizationandsplashin
selectivelasermelting[J].SurfaceTechnology,2021,50
(11):75-82.
[6]HaubrichJ,GussoneJ,BarrioberoVP,etal.Therol
eoflatticedefects,elementpartitioningandintrins
icheateffectsonthemicrostructureinselectivelase
rmeltedTi-6Al-4V[J].ActaMaterialia,2019,167:136-148.
[7]黎振華,鄧煜華,姚碧波,等.相同激光能量密度下掃描速度對選區激光熔化鈷鉻合金熔池尺寸與
致密度的影響[J].激光與光電子學進展,2022,59(7):413-417.
LiZhenhua,DengYuhua,YaoBibo,etal.Effectoflase
rscanspeedonpoolsizeanddensificationofselective
lasermeltedcocral-loyunderconstantlaserenergyde
nsity[J].Laser&OptoelectronicsProgress,2022,59(7):413
-417.
[8]馮慶曉,李多生,葉寅,等.層間停留時間對SLM成形Ti6Al4V應力場模擬研究[J].應用激光,2021
,41(6):1249-1256.
FengQingxiao,LiDuosheng,YeYin,etal.Simulation
ofstressfieldofSLMformingTi6Al4Vbyinterlayerresidenc
etime[J].Ap-pliedLaser,2021,41(6):1249-1256.
[9]楊寅晨,榮遠卓,王翔,等.TC4粉末選區激光熔化基礎燒結工藝仿真與試驗研究[J].現代制造工
程,2022(12):19-26.
YangYinchen,RongYuanzhuo,WangXiang,etal.Simul
ationandexperimentalstudyonbasicsinteringproces
sofTC4powderbyselectivelasermelting[J].ModernManuf
acturingEngineering,2022(12):19-26.
[10]鄭志軍,鄭翔.基于激光重熔的SLM成形316L不銹鋼溫度場仿真及工藝優化[J/OL].材料導報
:1-12[2024-04-23].
http://kns.cnki.net/kcms/detail/50.1078.TB.20230824.1109.002.h
tml.ZhengZhijun,ZhengXiang.Temperaturefieldsimu
lationandprocessoptimizationofSLMforming316Lstainlesssteelbasedonlaserremelting[J/OL].Materialguide:1-12[2024-04-23].http://kns.c
nki.net/kcms/detail/50.1078.TB.20230824.1109.002.html.
[11]王國波,李多生,葉寅,等.GH4169合金單道多層SLM成形過程熱行為分析[J].應用激光,2021,41(6):1257-1264.
WangGuobo,LiDuosheng,YeYin,etal.Thermalbehavi
oranalysisofGH4169alloyinSLMformingprocess[J].Applie
dLa-ser,2021,41(6):1257-1264.
[12]王良,陳香錦,晏文濤,等.中厚板鋁合金激光-MIG復合焊過程應力與變形研究[J].應用激光
,2023,43(2):70-79.
WangLiang,ChenXiangjin,YanWentao,etal.Studyon
stressanddeformationduringlaserMIGcompositewel
Dingofmediumandthickplatealuminumalloy[J].AppliedL
aser,2023,43(2):70-79.
[13]郭鑫鑫,陳哲涵.激光增材制造過程數值仿真技術綜述[J].航空學報,2021,42(10):234-246
.
GuoXinxin,ChenZhehan.Reviewonnumericalsimulat
ionofla-seradditivemanufacturingprocess[J].Aerona
uticalJournal,2021,42(10):234-246.
[14]李軍,劉婷婷,廖文和,等.激光選區熔化GH3536高溫合金成形特征與缺陷研究[J].中國激光
,2023,50(12):204-213.
LiJun,LiuTingting,LiaoWenhe,etal.Studyonformi
ngchar-acteristicsanddefectsofGH3536superalloybyl
aserselectivemelting[J].ChineseJournalofNonferro
usMetals,2023,50(12):204-213.
[15]魏建鋒,武美萍,韓基泰.掃描策略對SLM成形Inconel718表面質量的影響機制[J].應用
激光,2020,40(4):621-625.
WeiJianfeng,WuMeiping,HanJitai.Effectmechanis
mofscan-ningstrategyonsurfacequalityofInconel718b
ySLM[J].Ap-pliedLaser,2020,40(4):621-625.
[16]CuiX,ZhangS,ZhangCH,etal.Additivemanufactur
ingof24CrNiMolowalloysteelbyselectivelasermeltin
g:influenceofvolumetricenergydensityondensifica
tion,microstructureandhardness[J].MaterialsScien
ceandEngineeringA,2021,809:140957.
[17]趙昀,趙國瑞,馬文有,等.鎳的激光選區熔化成形工藝、結構與性能研究[J].激光與光電子學
進展,2020,57(17):186-197.
ZhaoYun,ZhaoGuorui,MaWenyou,etal.Studyonproce
ss,structure,andpropertiesofnickelselectivelase
rmelting[J].La-ser&OptoelectronicsProgress,2020,57(17
):186-197.
[18]GuDD,ShenYF.Effectsofprocessingparameterson
consolida-tionandmicrostructureofW-Cucomponentsb
yDMLS[J].Jour-nalofAlloysandCompounds,2009,473(1/2):107
-115.
[19]王磊,郭鎧,叢佳琦,等.工藝參數對選區激光熔化316L不銹鋼缺陷的影響[J].激光與光電子學
進展,2023,60(5):182-189.
WangLei,GuoKai,CongJiaqi,etal.Effectofprocess
parame-tersondefectofSLM316Lstainlesssteel[J].Laser&
Optoelec-tronicsProgress,2023,60(5):182-189.
[20]劉暢,馬行馳,馬海彬.工藝參數對選區激光熔化成型316L不銹鋼組織結構的影響[J].科學技術
與工程,2020,20(8):3011-3016.
LiuChang,MaXingchi,MaHaibin.Effectoftechnolog
icalpa-rametersonmicrostructureof316Lstainlessste
elbyselectivelasermelting[J].ScienceTechnologyan
dEngineering,2020,20(8):3011-3016.
[21]黃衛東,張偉杰,練國富,等.SLM成形工藝參數對316L不銹鋼成形件表面粗糙度的影響[J].應
用激光,2020,40(1):35-41.
HuangWeidong,ZhangWeijie,LianGuofu,etal.Effec
tofSLMformingprocessparametersonsurfaceroughness
of316Lstainlesssteelparts[J].AppliedLaser,2020,40(1):
35-41.
[22]杜磊,柯林達,孫京麗,等.選區熔化Ti-6Al-4V合金熱行為及成形質量研究[J].熱加工工
藝,2021,50(2):41-46.
DuLei,KeLinda,SunJingli,etal.Researchontherma
lbeha-viorandformingqualityofselectivelasermelt
edTi-6Al-4Vtitani-umalloy[J].HotWorkingTechnology,
2021,50(2):41-46.
[23]許良,張浩明,周松,等.選區激光熔化成型TC4鈦合金的拉伸性能[J].科學技術與工程,2020,
20(4):1355-1359.
XuLiang,ZhangHaoming,ZhouSong,etal.Tensilepro
pertyofselectivelasermeltingTC4titaniumalloy[J].Sc
ienceTechnologyandEngineering,2020,20(4):1355-1359.
[24]李佳宜,劉玉德,周裕圣,等.激光重熔對TC4選區激光熔化成形質量及力學性能的影響[J].激光
與光電子學進展,2022,59(5):239-247.
LiJiayi,LiuYude,ZhouYusheng,etal.Effectoflase
rremeltingonqualityandmechanicalpropertiesofsel
ectivelasermeltingofTC4[J].Laser&OptoelectronicsPr
ogress,2022,59(5):239-247.
[25]張弘.基于SLM的能量密度及其組成工藝參數對成形件性能影響的研究[D].杭州:浙江大學,
2018.
ZhangHong.Researchontheinfluencesofenergydens
ityandre-latedprocessparametersonthepropertieso
fSLMfabricatedparts[D].Hangzhou:ZhejiangUniversit
y,2018.
[26]楊立軍,燕珂,鄧亞輝,等.激光選區熔化TC4鈦合金工藝參數對成形件表面質量的影響[J].應用
激光,2022,42(5):43-50.
YangLijun,YanKe,DengYahui,etal.Effectofproces
sparam-etersonsurfacequalityofTC4alloybylasersele
ctivemelting[J].AppliedLaser,2022,42(5):43-50.
[27]宗學文,劉文杰,徐文博,等.激光選區熔化316L不銹鋼的表面形貌和硬度研究[J].應用激光,
2020,40(4):587-592.
ZongXuewen,LiuWenjie,XuWenbo,etal.Studyonsurf
acemorphologyandhardnessof316Lstainlesssteelbyla
serselectivemelting[J].AppliedLaser,2020,40(4):587-592.
相關鏈接